Skip to main content

Peer-reviewed publications

1. Optics Letters  2024   |    2. PCCP  2024  |    3. Metrologia   2025 |    4. Measurement:Sensors  2025  |    5. Measurement:Sensors  2025  |   

 

6. Science Advances 2025   |    7. PCCP 2025  |    8. Optics Letters 2025   |    9. JQSRT 2025   |    10. Physical Review Letters 2025     | 

 

11. Science Advances 2025   |    12. JQSRT 2026

12. Comb-locked cavity ring-down spectroscopy of CO at 2-um wavelength

2026

Partner project Unicampania published a paper in the journal JQSRT dealing with air-broadened CO2 comb-locked cavity ring-down spectroscopy at 2 micron wavelength.

The adopted experimental strategy relies on the use of a singly-resonant optical parametric oscillator that acts as an intermediate link between a 2 micron external-cavity diode laser and an optical frequency comb stabilised against a GPS-disciplined Rb-clock. Absorption spectra of the R(50) rovibrational component of the CO2 20012-00001 band have been recorded with high precision and fidelity. As a result of a refined spectral analysis, based on the implementation of the modified Hartmann-Tran profile, line centre frequencies, pressure broadening and pressure shifting coefficients have been determined. Finally, the measurement of CO2 mole fractions with a subpromille statistical uncertainty has been demonstrated.

Below are some highlights that resume the work done:

  • A cavity ring-down spectrometer (CRDS), operating at 2-μm wavelength and jointly assisted by an optical parametric oscillator and an optical frequency comb synthesiser, has been presented.
  • High-quality air-broadened CO2 spectra have been recorded.
  • A fitting approach, based on the use of the modified Hartmann-Tran profile, has been implemented.
  • Evidence for non-Voigt mechanisms has been found.
  • CO2 mole fractions have been determined with a statistical uncertainty of 0.09%.
  • Pressurebroadening and shifting coefficients have been measured.

Link to the article on JQSRT:  https://doi.org/10.1016/j.jqsrt.2026.109887

11. Unprecedented accuracy in molecular line-intensity ratios from frequency-based measurements

2025

USTC, UCL and PTB published a full article in the journal Science Advances describing significant progress in a spectroscopic gas thermometer using CO molecules.

PriSpecTemp Project Management Board member Dr. Rainer Stosch (PTB) said: “Classical, rotationally resolved absorption spectroscopy has long underpinned SI-traceable gas measurements. Our new Science Advances study shows how double-wavelength coherent multidimensional spectroscopy (DW-CMDS) lifts this foundation: by resolving molecular line-intensity ratios at the 0.003% level and enabling line-intensity ratio thermometry (LRT) with sub-millikelvin precision, we overcome long-standing limits from pressure broadening and thermal population effects. For PriSpecTemp, this delivers practical metrology—tighter inputs for temperature determination, stronger traceability and uncertainty evaluation, and credible pathways to future CMC claims in gas composition and isotopic analysis—while reducing reliance on physical reference materials.” 

Corresponding authors Prof. Shuiming Hu (USTC) and Dr. Yan Tan (USTC) said: "In this work, our team pioneered the development of dual-wavelength cavity mode dispersion spectroscopy technology, which reduced the measurement uncertainty of molecular line intensity ratios to 0.003%. For the first time, we achieved primary gas thermometry based on an optical thermometry that can be directly traced to the Boltzmann constant. The statistical uncertainty was as low as 0.5 mK, improving the accuracy by more than tenfold compared with similar work reported in previous literature."

The link to the Science Advances:

  https://www.science.org/doi/10.1126/sciadv.adz6560

10. Leveraging resonant frequencies of an optical cavity for spectroscopic measurement of gas temperature and concentration

2025

UMK introduced a spectroscopic approach to primary gas thermometry, harnessing precise optical cavity resonance frequencies and ab initio molecular line intensity calculations.

Phys. Rev. Lett. 135, 103201.  DOI: https://doi.org/10.1103/2jz1-dr5l

 

By utilizing CO (3-0) vibrational band lines and cavity mode dispersion spectroscopy, we achieve an uncertainty of 82 ppm (24 mK at 296 K) in line-intensity-ratio thermometry (LRT)—over an order of magnitude lower than any previously reported spectroscopic thermometry at gas pressures above 1.2 kPa.

🌡️ Advancing Temperature Metrology

Accurate line intensities are critical for spectroscopic gas thermometry, which relies on the temperature dependence of molecular absorption features to determine gas temperatures with high precision. 

📊 Enhancing Gas Metrology

In gas metrology, precise line intensity data is essential for developing primary standards for gas concentration measurements. This work’s accuracy improvements facilitate better traceability in optical gas sensing, supporting applications in environmental monitoring, emission surveillance, and natural gas quality control. For instance, projects like PriSpecTemp rely on such data to expand the range of measurable gas species and improve uncertainty levels.

🏭 Industrial Applications

  • Energy and Natural Gas: Accurate CO measurements enhance safety and efficiency in gas processing and leak detection.

  • Manufacturing: Improved spectroscopic sensors optimize combustion control and emissions monitoring in industries like metallurgy and plastics.

  • Electronics and Aerospace: High-accuracy data supports temperature and pressure measurements in harsh environments, where traditional sensors may fail.

9. CO line intensities: Towards subpercent accuracy of intensities of all band

2025

🔬 Quantum Chemistry Enables High Accuracy in CO Spectroscopy !

PriSpecTemp partner UCL published in the Journal of Quantitative Spectroscopy and Radiative Transfer (https://doi.org/10.1016/j.jqsrt.2025.109510) where researchers have achieved subpercent accuracy across all rovibrational bands in calculating carbon monoxide (CO) line intensities using purely ab initio methods. This represents a significant milestone in molecular spectroscopy and computational chemistry.

Accurate line intensities are critical across a wide range of scientific and industrial applications:

  • 🌍 Environmental Monitoring: Enhanced precision in measuring atmospheric CO improves climate models and pollution tracking.

  • 🏭 Industrial Applications: Supports advanced sensors for combustion analysis, safety monitoring, and process control in industrial settings.

  • 🔭 Astrophysics: Enables better interpretation of CO spectra in exoplanet and stellar atmospheres, aiding in the search for habitable worlds.

  • ⚖️ Metrology: Provides first-principles reference data for developing primary standards for temperature and pressure, reducing dependence on empirical calibrations and supporting traceability in optical gas sensing.

  • ⚛️ Scientific Research: Provides a reliable benchmark for quantum chemistry methods, reducing the need for empirical fittings and supporting future studies on other molecules

8. Cavity Ring-Down Spectroscopy at 2-μm Wavelength Assisted by a Comb-Locked Optical Parametric Oscillator

2025

Project partner UniCampania group led by Prof. Antonio Castrillo and Prof. Livio Gianfrani developed a high-precision spectrometer for molecular spectroscopy at 2 μm, leveraging a novel comb-locked optical parametric oscillator (OPO) as a reference laser. This system achieves absolute frequency accuracy of 108 kHz—critical for advancing metrology in atmospheric and astrophysical sciences.

Highlights: 
1. Measured previously unobserved N₂O transitions in vibrational hot bands.
2. Retrieved pressure-broadening/shifting coefficients with record uncertainty.
3. Paves the way for precision studies of CO₂, H₂O, and other climate-relevant molecules.

This work is published in journal Optics Letters: 

Vittorio D'Agostino, Eugenio Fasci, Muhammad Khan, Stefania Gravina, Livio Gianfrani, and Antonio Castrillo, "Cavity Ring-Down Spectroscopy at 2-μm Wavelength Assisted by a Comb-Locked Optical Parametric Oscillator" Optics Letters (2025) https://doi.org/10.1364/OL.563855

7. Dispersive heterodyne cavity ring-down spectroscopy exploiting eigenmode frequencies for high-fidelity measurements

2025

NCU introduces dispersive heterodyne cavity ring-down spectroscopy (HCRDS), revolutionizing high-precision molecular measurements.

By leveraging the optical frequency of cavity eigenmodes, this method eliminates inaccuracies plaguing traditional techniques, re-confirming sub-per-mil (‰) accuracy on CO line intensity from a recent hashtag#CCQM-P229 Pilot study (Hodges et al 2025 Metrologia 62 08006) — critical for climate science, isotope studies, and quantum metrology.

🔬 Key Advances:
✅ Unprecedented Accuracy: Sub-‰ agreement with ab initio calculations for CO and HD spectral lines.
✅ Robust & Fast: Combines the speed of cavity ring-down spectroscopy (CRDS) with the precision of cavity mode dispersion (CMDS), bypassing detector nonlinearity.
✅ Climate Impact: Enables precise tracking of greenhouse gases (GHGs) and atmospheric processes, reducing systematic errors in climate models.
✅ Metrology Applications: Paves the way for optical primary standards for gas pressure, temperature, and isotope ratios.


This work is published in journal Science Advances

Agata Cygan et al., Sci. Adv. 11, eadp8556 (2025) DOI: 10.1126/sciadv.adp8556

6. Measurement of carbon monoxide pressure broadening and temperature dependence coefficients in the 1 ← 0 band

2025

The work led by Dr. Denghao Zhu (PTB), Dr. Zhechao Qu(PTB) and coauthors advances the precision of carbon monoxide (CO) spectroscopy, with far-reaching impacts across temperature metrology, combustion research, and atmospheric science. 

Why does this matter?
✅ Temperature Metrology: For the first time, we’ve measured CO’s temperature-dependent line parameters at extreme conditions (up to 1,648 K) using shock tubes and rapid laser scans. These low-uncertainty data (<6.2%) redefine accuracy in high-temperature diagnostics, crucial for industrial processes and scientific standards.

🔥 Combustion Research: By reducing CO mole fraction uncertainty by 2.7× compared to HITRAN, our results enable sharper insights into fuel oxidation kinetics. This precision is key for optimizing combustion efficiency and reducing emissions—critical for clean energy innovation.

🌍 Atmospheric Science: Accurate CO line parameters improve models for air quality monitoring and climate studies. Our data on pressure broadening in gases like H₂, CO₂, and Ar supports better predictions of CO’s role in ozone formation and indirect climate impacts.

 

This work is published in the journal Physical Chemistry Chemical Physics: 

Denghao Zhu, Leopold Seifert, Sumit Agarwal, Bo Shu, Ravi Fernandes and Zhechao Qu. PCCP 2025 (In press) DOI: 10.1039/d5cp00161g

5. FEM analysis of thermal properties of an optical gas cell for ro-vibrational spectroscopic thermometry

2025

In collaboration with PTB,  JV utilised Finite Element Method (FEM) to analyse the thermal behaviour of newly designed optical gas cell. 

JV and PTB have investigated the impact of the gas pressure, design of the optical windows, thermal radiation and the flow regime inside the heat exchanger on the temperature gradient in the spectroscopic gas cells. Considering practical spectroscopic measurement conditions, the simulation covered wide ranges of pressure and temperature, from 1 mbar to 1000 mbar, and from 200 K to 400 K, respectively.

First author Dr. Kianoosh Hadidi explains the highlights of this study: "The results of the FEM analysis shows the significance of the design of optical windows, including the size and isolation, in maintaining gas thermodynamic stability and homogeneity. Moreover, the simulation demonstrates how temperature profiles vary in different conditions and how viscous dissipation in the heat exchanger fluid affects the gas temperature uniformity. Furthermore, the study emphasises the importance of the place where the temperature sensor is installed, for accurate temperature measurement. The findings of this research aim to provide valuable insights for the future design of optical gas cells."

This work is published in the journal Measurement: Sensors

Kianoosh Hadidi and Gang Li, “FEM analysis of thermal properties of an optical gas cell for ro-vibrational spectroscopic thermometry” Measurement: Sensors 38, 101639 (2025)

 https://doi.org/10.1016/j.measen.2024.101639

 

4. Metrology for Climate Action

2025

PTB IC-U showcases examples of the metrology efforts with climate action and enviromental protection with three EURAMET projects 22IEM03 PriSpecTemp, 19ENV01 traceRadon (link), 21GRD08 SoMMet (link at the IMEKO World Congress in Hamhurg.

PTB has taken initiatives to align its metrology efforts with climate action and environmental protection. The so founded Innovation Cluster Environment & Climate (IC-U) (link)  has implemented strategic actions to tackle the metrological challenges related to climate change and environmental threats. From air quality to z-score evaluation, PTB is serving metrology research needs and customer demands with respect to climate and environment topics. This contribution showcases examples spanning from optical gas standards (OGS) for air quality networks, neutron scattering-based soil moisture measurements and radon metrology applied to greenhouse gas transportation, to quantum chemistry applications for remote sensing with uncertainty figures as small as 0.14 %.

The Executive Secretary of IC-U Dr. Olav Werhahn corresponding author of this article talked about the core principles of the metrology community and its great relevance and unique position in tackling climate chagne: "Core principles of the metrology community are the concept of metrological traceability including uncertainty assessment and the comparability of measurement data. This is taken from the global level of the BIPM to the regional level of Regional Metrology Organizations (RMOs) down to the level of individual national metrology institutes. At PTB, the Innovation Cluster Environment & Climate (IC-U) sets out to oversee PTB’s commitment to metrology for climate actions and environmental protection. Because of the wide span of disciplines, the IC-U is an interdisciplinary structure comprising expertise from six different scientific domains and providing metrological research and services to applications from a like air quality to z like z-score evaluations."

This work is published in the Journal Measurement:Sensors

G. Li, A. Röttger, M. Zboril, O. Werhahn. "Metrology for climate action", Measurement:Sensors 38, 101850 (2025)  https://doi.org/10.1016/j.measen.2025.101850

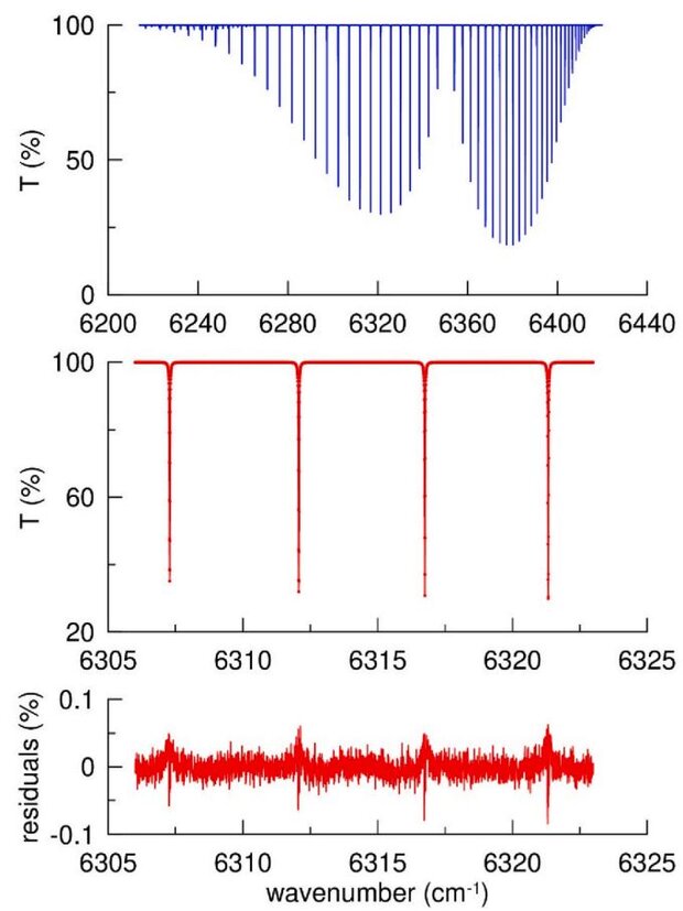
3. International comparison CCQM-P229 pilot study to measure line intensities of selected 12C16O transitions

2025

PriSpecTemp partners PTB, UMK, and DLR participated in an international measurement campaign (pilot study CCQM-P229) organized under the auspices of the Consultative Committee for Amount of Substance (CCQM).

Six laboratories carried out independent measurements of ro-vibrational line intensities in the 3-0 vibrational band of 12C16O using three different spectroscopic techniques: CRDS, CMDS and FTIR. This study showed consistency between the experimental and theoretical band intensities at the sub per mille level- reducing uncertainty in this quantity by more than an order of magnitude.

PriSpecTemp collaborator Dr. Joseph T. Hodges, Leader of the Optical Measurements Group at NIST, who coordinated this pilot study within the CCQM-GAWG Task Group on Advanced Spectroscopy (TGAS) said:  "The main goal of TGAS is to demonstrate and realize the enormous potential of rotationally resolved, linear absorption spectroscopy as a primary measurement method to make SI-traceable measurements of amount-of-substance and isotopologue composition as well as pressure and temperature.  Spectra of this type depend on intrinsic quantum-mechanical properties of molecules such as transition moments, molecular Hamiltonians etc., which can be accurately determined from complementary laboratory measurements and ab initio calculations.  Moreover for maximizing progress, the TGAS brings together expertise in gas standards metrology and the molecular spectroscopy communities- thus leveraging best-practices in the measurement science of gas samples with the most advanced spectroscopic experiments and theoretical models available."

This work is published in the journal Metrologia:

J T Hodges, K Bielska, M Birk, R Guo, G Li, J S Lim, D Lisak, Z D Reed and G Wagner, Metrologia 62 08006 (2025) https://iopscience.iop.org/article/10.1088/0026-1394/62/1A/08006

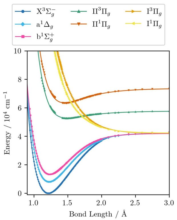
2. An ab initio spectroscopic model of the molecular oxygen atmospheric and infrared bands

2024

PriSpecTemp's project partner UCL published an article titled "An ab initio spectroscopic model of the molecular oxygen atmospheric and infrared bands".

Led by researchers at UCL (PriSpecTemp partner) and Dongguk University, this work uses quantum calculations to predict magnetic dipole and electric quadrupole transitions in O₂—critical for interpreting spectra from telescopes like JWST and the upcoming ELT. 🛰️ By overcoming challenges posed by O₂’s symmetry (no electric dipole moments!), the team generated precise line lists for astrophysical applications, aiding the search for oxygen biosignatures on Earth-like exoplanets.
🔬 Key Advances:
✅ Diabatic treatment of excited states to resolve avoided crossings.
✅ First unified model covering 7 electronic states, spin-orbit couplings, and quadrupole moments.
✅ Validation against experimental data (HITRAN) with future refinements planned.

This work is published in the journal: Phys.Chem.Chem.Phys:

W. Somogyi et al., PCCP, 26, 27419-27430 (2024)  DOI: 10.1039/d4cp02619e

1. Reference-free dual-comb spectroscopy with inbuilt coherence

2024

PriSpecTemp's project partner, the University of Helsinki, published an article titled "Reference-free dual-comb spectroscopy with inbuilt coherence," in the prestigious journal Optics Letters [1]. 

Dual-comb Fourier-transform spectroscopy (FTS) combines the advantages of laser spectroscopy and classic FTS, offering high precision, speed, and broadband coverage. The first successful demonstration of dual-comb spectroscopy in gas thermometry was reported in 2018 by Shimizu et al. at the National Metrology Institute of Japan [Shimizu et al. 2018]. However, improving the signal-to-noise ratio of the measurements is critical in order to enhance the accuracy of derived gas temperatures. Another important area for further development is to simplify the experimental implementation and ensure its robustness for practical applications.

Prof. Markku Vainio, the last author of the Optics Letters article, explains the key enabler for this scientific advance: "Dual-comb spectroscopy has proven a powerful technology for high-precision gas spectroscopy, but its implementation is often technically involved, requiring optical phase locking and fast control electronics. In our work, we have shown that the experimental implementation can be significantly simplified without sacrificing the measurement precision. This is a step towards practical and accurate gas thermometry using dual-comb spectrometers."

This work is published in the journal Optics Letters.

M. Roiz, S. Larnimaa, T. Uotila, M. Närhi, and M. Vainio, "Reference-free dual-comb spectroscopy with inbuilt coherence," Opt. Lett. 49, 2473-2476 (2024). https://doi.org/10.1364/OL.521866

Reference:  Y. Shimizu et al., “Molecular gas thermometry on acetylene using dual-comb spectroscopy: analysis of rotational energy distribution,” Appl. Phys. B 124, 71 (2018). https://doi.org/10.1007/s00340-018-6933-x